Home | Mailing List | Specifications | Care and Feeding | Modifications | Vendors | Literature

 

Ford Block Dimensions

New 10/30/06


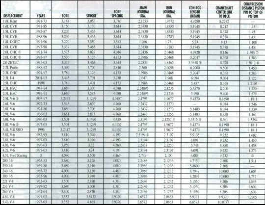
Ford Block dimensions thanks to Carter.


Contact Information